Overview Gene Rankings EDA Plots Feature Importance

This section contains mantis-ml's predictions for CKD, given as percentile or probability scores. The higher the percentile/probability score, the more likely a gene is to be associated with that disease.

Percentile/probability scores are given for all classifiers used with mantis-ml during stochastic semi-supervised learning.
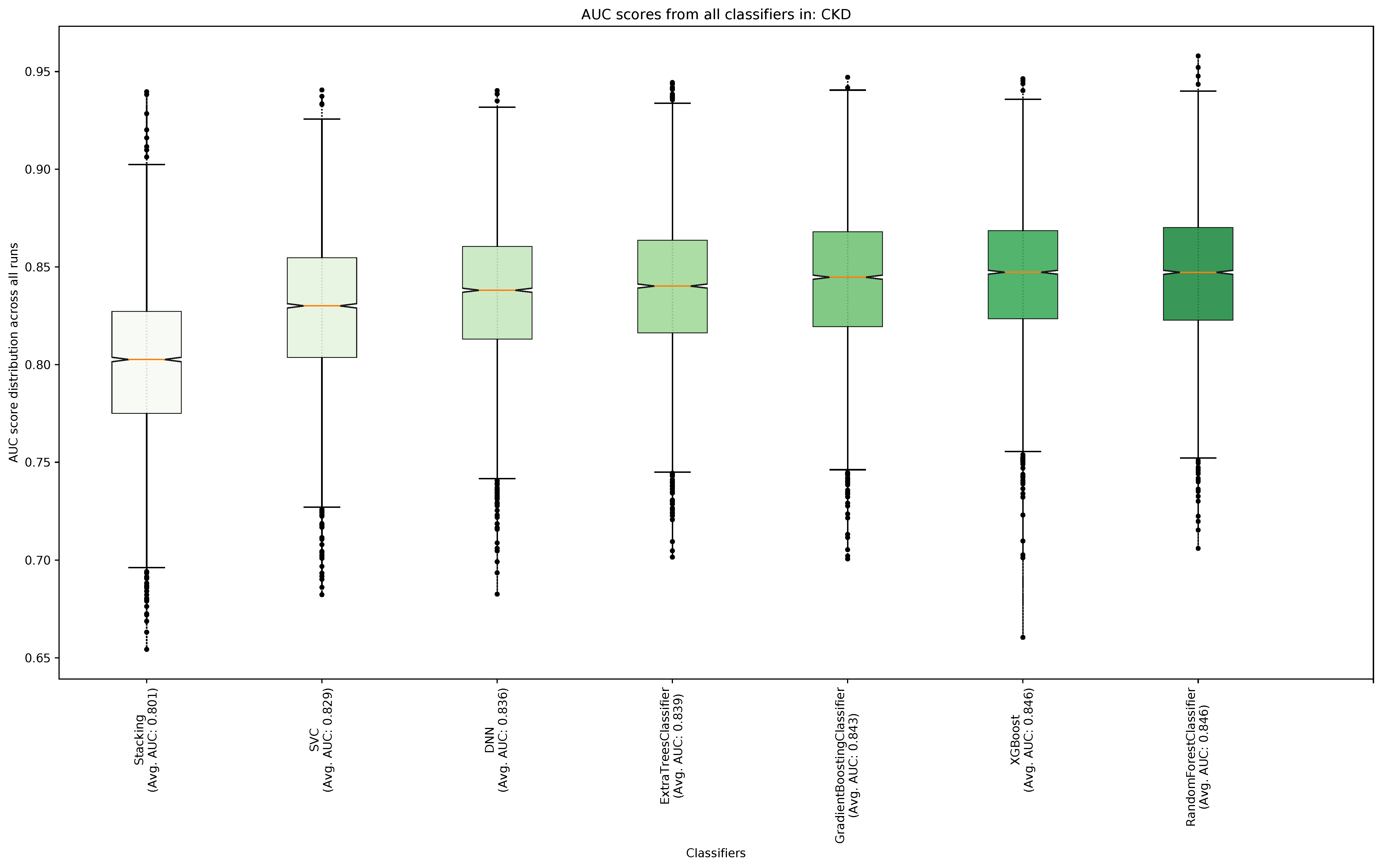
Genes are sorted by default based on one of the classifiers (RandomForest) with the highest average AUC performance (please note that XGBoost also has the same average AUC performance).
Further filtering can be applied as a follow-up, e.g. by selecting genes that are predicted as novel/positive (probability > 0.5) in more than one classifiers.

You can also view the distribution of AUC performance scores per classifier.


CKD: mantis-ml rankings per Classifier (percentile scores)


CKD: mantis-ml rankings per Classifier (probability scores)


AUC Performance per Classifier

Seed genes (automatically inferred from HPO)