Overview Gene Rankings EDA Plots Feature Importance

This section contains mantis-ml's predictions for ALS, given as percentile or probability scores. The higher the percentile/probability score, the more likely a gene is to be associated with that disease.

Percentile/probability scores are given for all classifiers used with mantis-ml during stochastic semi-supervised learning.
Genes are sorted by default based on the classifier with the highest average AUC performance (ExtraTrees).
Further filtering can be applied as a follow-up, e.g. by selecting genes that are predicted as novel/positive (probability > 0.5) in more than one classifiers.

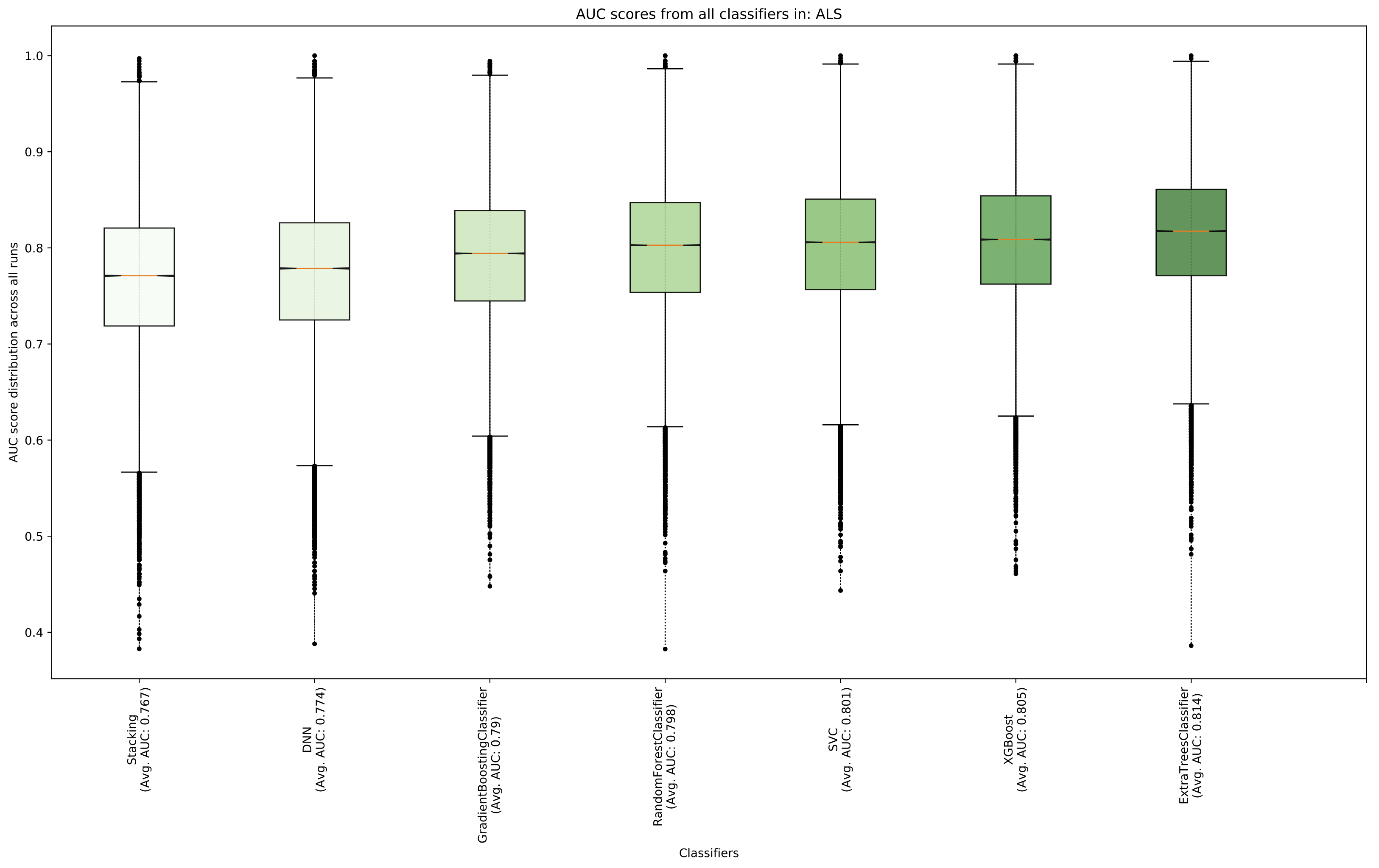
You can also view the distribution of AUC performance scores per classifier.


ALS: mantis-ml rankings per Classifier (percentile scores)


ALS: mantis-ml rankings per Classifier (probability scores)


AUC Performance per Classifier

Seed genes (automatically inferred from HPO)